About
Contact
Fresh
Trending
Hot
Random
Advertisement
Home
Education
Given that hyperbola `xy-2y + 3x =k` is tangent to the ellipse `3x^(2)-12x+2y^(2)+12y+6=0` at two
Given that hyperbola `xy-2y + 3x =k` is tangent to the ellipse `3x^(2)-12x+2y^(2)+12y+6=0` at two
Baha
February 05, 2020
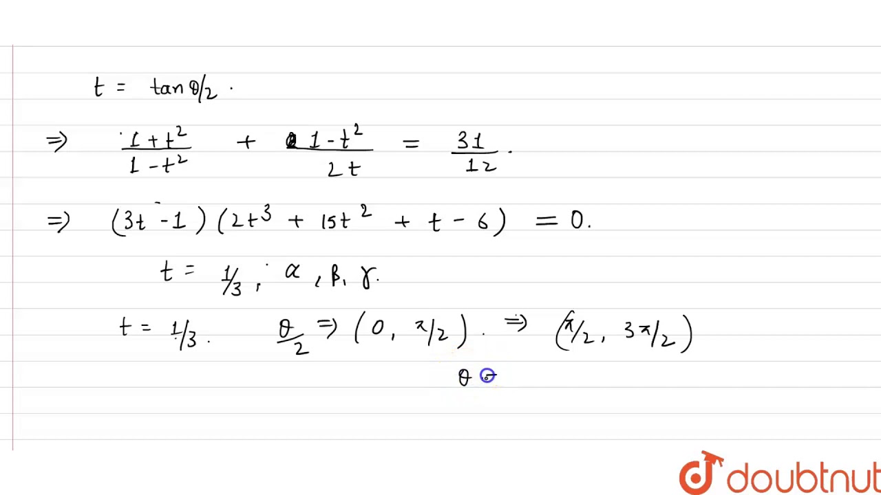
Given that hyperbola `xy-2y + 3x =k` is tangent to the ellipse `3x^(2)-12x+2y^(2)+12y+6=0` at two points A and B On the bases of above answer the following Product of possible values of k is
`3x^(2)-12x+2y^(2)+12y+6=0`
Post a Comment
0 Comments
Popular Videos
БОРЬБА ИЛИ СОТРУДНИЧЕСТВО? | ДЖОРДАН ПИТЕРСОН и ХЕЛЕН ЛЬЮИС | ФЕМИНИЗМ | Club Sixty Nine
November 23, 2019
Stupid things I believed when I was younger
February 28, 2020
Lethargic meaning in tamil தமிழ்
September 16, 2019
5 Meatball Recipes You Can't Resist • Tasty
January 25, 2020
BOLA: VA RALLY..STAY VIGILANT EVEN KNOW IT MAY SLOW DOWN. SHADY SHADY
January 25, 2020
Words of Wisdom: Why you should always forgive
November 22, 2019
Principles of Government You Need to Know
January 25, 2020
Archive
March 2020
2884
February 2020
5400
January 2020
5767
December 2019
6196
November 2019
4470
October 2019
3026
September 2019
3275
August 2019
967
0 Comments